一、文献综述、理论分析与研究假说提出
(一)文献综述
1.关于留守儿童健康的研究。当前,关于留守儿童健康的研究主要从两个方面展开。
首先,部分研究认为,父母外出务工对留守儿童的生理健康产生正向效应。这种观点认为,父母外出务工会增加家庭收入,能够为留守儿童提供更多的物质帮助,进而增加留守儿童接受教育和获得卫生健康知识的机会(Nobles,2006),即所谓的“汇款效应”。汇款效应给留守儿童生理健康带来的正向影响在多个国家得到证实。在墨西哥,国际移民汇款显著降低了城市儿童死亡率、文盲率等(López-Córdova,2005)。在拉丁美洲地区,移民家庭中的留守儿童的生理健康指标普遍好于非移民家庭中的儿童(Antén,2010)。国内相关研究也佐证了汇款效应的存在,即父母外出会对留守儿童的自评健康等产生促进效应(孙文凯和王乙杰,2016)。
其次,大量研究表明,父母缺席会导致留守儿童的生理健康和心理健康问题频发。这种观点认为,家庭结构会影响孩子的发展(吴愈晓等,2018),家庭照料缺失是留守儿童生理健康与心理健康存在较多问题的原因(宋月萍和张耀光,2009)。父母外出务工导致对农村留守儿童的照料减少,会对留守儿童的生理健康和心理健康产生负向效应,即所谓的“分离效应”(叶敬忠和孟祥丹,2010)。来自墨西哥的实证研究表明,在移民家庭中,父母不在孩子身边,孩子得不到父母的呵护与关爱,会对孩子的健康产生长期的负面影响(Hildebrandtetal.,2005)。国内研究也支持了这种观点。在生理健康方面,父母外出务工会对留守儿童的身高、体重产生显著的负面影响(丁继红和徐宁吟,2018)。陈在余(2009)运用中国营养与健康调查数据研究发现,父母外出务工对学龄儿童身体质量指数存在显著的负向影响,特别是母亲外出务工对留守儿童身体质量指数的不利影响更为显著。在心理健康方面,刘红艳等(2017)使用陕西省38所样本学校的调查数据研究发现,父母长期外出会对农村留守儿童心理健康产生负面影响。总体来看,亲情缺失会带来心理、教育、健康和安全等方面的问题,导致留守儿童的健康状况较差(谭深,2011)。
父母外出务工的汇款效应和分离效应同时存在,留守儿童的健康问题是这两种效应交织的结果。汇款效应提高了留守儿童的生理健康水平,但在心理健康方面,汇款效应的正向影响难以对冲分离效应带来的负面影响。
2.关于农村留守儿童成年后健康的研究。留守儿童的短期健康问题是否具有长期性,对中国人口素质的提升有重要意义。就本文关注的健康问题而言,相关研究认为,留守经历与个体终生的健康状况有关,不幸的早年经历对个体健康可能存在终生的不利影响(Dobbinsetal.,2022)。生命历程理论认为,个体的早年健康状况对其成年后的健康状况有重要影响(Elder,1994)。留守儿童与他人沟通的频率较低,在日常生活中从家庭获得情感和社会支持的机会有限,这增加了他们成年后出现焦虑、抑郁和人际敏感等问题的可能性(Duanetal.,2023)。
关于农村留守儿童成年后心理健康的研究,现有文献主要关注大学生等特殊群体。已有研究显示,有留守经历的大学生可能存在自我评价低、情绪不稳定等问题(张莉华,2006)。李晓敏等(2009)研究发现,农村留守经历对大学生心理健康的负面影响与负性情绪和低自尊等因素有关。骆素萍和周邦(2017)认为,有农村留守经历的大学生的心理健康水平和心理韧性均低于无农村留守经历的大学生。
农村留守经历对大学生存在性别、家庭结构和城乡层面的异质性影响(郭亚平,2020)。还有研究发现,在长三角和珠三角的外来务工人员中,在学前、小学或初中某个阶段有留守经历的个体更有可能处于精神健康的“高危”状态,其中,学前和初中阶段的留守经历的影响更大(刘志军,2019)。这些研究较多关注有农村留守经历的大学生等特殊群体,对有农村留守经历的一般成年人的关注不足。
留守儿童长期缺乏父母的关心与关注是农村留守经历持续影响个体成年后健康状况的原因。留守儿童容易受到早期社会剥夺的不利影响,存在依恋障碍等精神疾病的可能性较大(George,2014)。父母的亲情关爱和有效监护在保障儿童健康成长方面起着关键作用,能促使儿童形成和维系安全型依恋关系(陈立等,2021)。长期分离会导致留守儿童难以建立与父母的亲密联系,留守儿童在成长过程中很难从父母的言行与关爱中获得心灵寄托。在马太效应作用下,留守儿童早年的健康“劣势”逐渐累积,形成“劣势累积效应”(Merton,1968)。相关研究也证明,农村留守经历持续时间越长,大学生的幸福感与心理健康水平越低(姚远和张顺,2018)。因此,农村留守经历不仅会对留守儿童的健康产生影响,还会在劣势累积效应的作用下对其成年后的健康状况产生不利影响。
(二)理论分析与研究假说
基于Elder(1994)的生命历程理论,本文探讨留守经历对农村留守儿童成年后健康状况的影响。该理论认为,生命历程由一系列事件构成。这些事件的时间安排和顺序至关重要。同时,个体的社会角色与文化背景也不容忽视。他们共同塑造每个人的生活轨迹。在本文的分析框架中,留守经历被视为生命早期事件,个体成年后的健康状况是早期事件的长期结果。在生命早期,家庭是儿童成长过程中最为核心的环境,家庭氛围、父母的教养方式以及亲子互动对儿童的身心健康具有深远影响(姚远和张顺,2018)。然而,由于父母长期外出务工,留守儿童往往缺失父母一方或双方的持续陪伴、情感支持和教育引导,这种结构性家庭功能的弱化极易导致留守儿童的身心健康问题(谭深,2011)。从生命历程理论来看,童年时期的经历往往会影响个体的长期发展。在生命早期,留守儿童存在情感缺失、照料不足、营养失衡等问题,不仅会直接影响其心理发展和生理健康,还可能对其成年后的身心健康产生长期影响(骆素萍和周邦,2017)。因此,留守经历作为生命历程早期的重要事件,可能对留守儿童的终生发展产生深远影响。基于上述分析,本文提出研究假说1。 H1:留守经历对农村留守儿童成年后的健康状况存在负面影响。
生命历程理论指出,个体的生命历程深深嵌入历史时间(Elder,1999)。按照生命历程理论对时间的理解,个体在不同阶段的生活环境和经历的关键事件会因其发生时间和顺序的不同而产生差异化的影响(石智雷和吴志明,2018)。如果特定事件在适当的年龄没有发生或者完成,随后发生的一系列事件可能被推迟或不会再出现。从依恋视角来看,留守儿童容易受到早期社会剥夺的不利影响(George,2014)。如果个体在早期与父母分离,那么儿童很难得到父母的关心和照料,导致儿童的健康水平下降。此外,Heckman(2006)基于生命周期视角提出,人力资本投资回报随着年龄的增长而递减。在个体成长的不同阶段,人力资本投资的回报率不同,投资越早,人力资本投资的回报率就越高。基于上述分析,本文提出研究假说2。
H2:留守开始的时间越早,留守经历对农村留守儿童成年后健康状况的影响越大。
LinkandPhelan(1995)提出了健康的根本致因理论,认为健康差异并非仅由具体的疾病因素直接导致的,而是源于更深层次的社会经济因素,社会经济地位是导致个体健康状况存在差异的根本原因。社会经济地位通过两种途径影响健康状况。第一种途径是社会经济地位的溢出效应。社会经济地位较高、受教育程度较高的个体能够选择居住在环境更好、健康设施和医疗服务更加完善的社区,进而对其健康状况产生正向溢出效应(ChristakisandFowler,2007)。第二种途径是高社会经济地位的人群更倾向于采用健康的生活方式。社会经济地位较高的群体最先推崇更加健康的生活方式,这一理念随后会部分扩散至社会经济地位较低的群体中(RossandMirowsky,2011)。现有研究表明,留守经历对农村留守儿童成年后的生活机会获得、健康生活方式养成、高等教育获得、经济地位提升等存在显著的负面影响(唐宁和谢勇,2019;韩保庆等,2021)。因此,生活方式、社会地位以及受教育程度是留守经历影响农村留守儿童成年后健康状况的作用机制。基于上述分析,本文提出研究假说3。
H3:相较于无留守经历者,农村留守儿童成年后更可能拥有不健康的生活方式,社会地位和受教育程度可能更低,并且这种差异部分解释了有无留守经历者之间健康状况的差异。
二、研究设计
(一)数据来源
本文使用了两组数据,第一组数据来源于2018年中国劳动力动态调查(CLDS)。2018年CLDS询问了1980年及以后出生的受访者在学前、小学、初中和高中四个阶段主要和谁一起生活。通过这个问题,本文可以精确识别受访者的留守经历。第二组数据来源于《中国城市统计年鉴(1990)》。本文将城市特征数据与个体数据进行匹配,以控制城市层面的固定效应。本文的研究对象为1980-2000年出生的、户口为农业户口的个体。剔除无法识别是否具有留守经历的样本以及出生时户口为非农业户口的样本后,本文共获得3301个有效样本,其中,有留守经历的样本有624个,占比为18.9%,无留守经历的样本2677个。
(二)变量设置
本文的被解释变量是农村留守儿童成年后的健康状况。连玉君等(2015)认为,自评健康是一个综合考虑疾病严重程度、家庭疾病史、健康状况稳定性等众多因素的主观评价,在一定程度上能够反映受访者的生理健康水平。因此,本文使用自评健康来衡量农村留守儿童成年后的生理健康水平。本文主要通过CLDS问卷中的问题“您认为自己现在的健康状况如何?”来衡量农村留守儿童成年后的生理健康水平。若受访者回答为“非常不健康”“比较不健康”“一般”,则将生理健康水平赋值为0;若受访者回答为“健康”“非常健康”,则将生理健康水平赋值为1。农村留守儿童的心理健康问题一直是社会关注的焦点。本文使用CLDS问卷中的抑郁自评量表(CES-D)来衡量农村留守儿童成年后的心理健康水平。问卷相应的内容为“过去的一周里,选择您出现以下情况的频率”,其中,“以下情况”包括“因一些小事而烦恼”“觉得生活没有意思”等20个条目。相应选项包括“没有或几乎没有”“少有”“常有”“几乎一直有”。本文参考相关研究(王天宇和周晔馨,2023)和CES-D的判定标准(Radloff,1977),按照心理问题从轻到重的顺序,依次给选项赋值0、1、2和3。本文加总20个条目的得分,若总分大于或等于16,则将农村留守儿童成年后的心理健康水平赋值为0,表示其可能存在心理健康问题;若总分小于16,则将农村留守儿童成年后的心理健康水平赋值为1,表示其可能不存在心理健康问题。
本文的核心解释变量是留守经历。本文根据CLDS问卷中受访者在学前、小学和初中三个阶段主要和谁一起生活来定义留守经历变量。若受访者在其中任何一个阶段未与父亲或者母亲共同生活,则留守经历变量赋值为1;否则,赋值为0。关于开始留守阶段的定义,若受访者在学前阶段开始成为留守儿童,则学前留守变量赋值为1;若任何阶段无留守经历,则变量赋值为0。若受访者在小学阶段开始成为留守儿童,则小学留守变量赋值为1;若任何阶段无留守经历,则变量赋值为0。若受访者在初中阶段开始成为留守儿童,则初中留守变量赋值为1;若任何阶段无留守经历,则变量赋值为0。在留守时长方面,受数据约束,本文不能精确识别留守儿童的留守开始时间和结束时间。因此,本文将受访者经历的留守阶段数量定义为留守时长。留守时长为0,表明受访者没有留守经历;留守时长为1,表明受访者在学前、小学和初中三个阶段中有一个阶段成为留守儿童;留守时长为2,表明受访者在学前、小学和初中三个阶段中有两个阶段成为留守儿童;留守时长为3,表明受访者在学前、小学和初中三个阶段均为留守儿童。
本文参考已有研究(盛来运,2007;陶然和周敏慧,2012)并考虑数据可得性,选取三方面的变量作为控制变量。一是个体特征变量,包括性别。二是父母特征变量,包括父亲受教育年限、母亲受教育年限、父亲单位、母亲单位和父母婚姻状态。三是城市经济特征变量,包括人均地区生产总值、失业率和就业结构变动。变量的定义及描述性统计结果见表1。


(三)实证模型
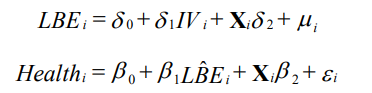
本文研究留守经历对农村留守儿童成年后健康的影响,模型设定如下:

(1)式中:Healthi代表农村留守儿童成年后的生理健康水平和心理健康水平;LBEi 代表留守经历,衡量受访者的留守经历情况;控制变量Xi 包含个体特征、父母特征和城市经济特征三个层面的控制变量;εi是随机扰动项。(1)式模型潜在的内生性问题主要有三个来源:一是反向因果问题。本文的核心解释变量是受访者的留守经历,被解释变量是受访者成年后的生理健康水平和心理健康水平。受访者成年后的健康状况不会影响其童年经历,反向因果问题可以避免。二是测量误差问题。CLDS并未直接询问受访者的留守经历,而是询问受访者在学前、小学、初中三个阶段是否与其父母共同生活,这样可以很好地缓解测量误差问题。三是遗漏变量问题。
本文无法获得受访者在成为留守儿童之前的健康状况,这会产生由遗漏变量导致的内生性问题。这是需要重点解决的问题。留守经历对农村留守儿童成年后健康状况的影响可能受到一些难以观测因素的干扰,如父母的性格偏好和外出务工时的生活环境等。这些因素可能会同时影响受访者的早年经历和成年后的健康状况。在实际生活中,这些被遗漏的变量往往难以被量化。所以,本文采用工具变量法进行回归。估计模式设定如下:

(2)式表示第一阶段估计方程。参考张欢和吴方卫(2022)的研究,本文采用户籍地到港口的最小距离作为留守经历的工具变量(IV)。首先,工具变量选择符合相关性假定。地区到港口距离越远,产业发展越落后,就业岗位越少,人口外流越多,个体成为留守儿童的可能性越大。其次,工具变量选取符合外生性假定。地区到港口的距离是相对固定的自然地理因素,通常不影响个体的健康相历的估计系数。考虑到被解释变量为二分类变量,本文使用两阶段IV-Probit模型进行估计,并在稳健性检验中使用线性模型两阶段最小二乘法(2SLS)。
样本选择偏误主要来源于父母外出务工的选择性。父母外出务工受自身条件以及外部环境的影响,并非随机发生的,由此带来样本选择偏差问题。本文尽可能控制个体特征、父母特征和城市经济特征层面的控制变量,以缓解可能的样本选择偏差问题,并在稳健性检验中采用倾向得分匹配法处理选择偏误问题。
三、留守经历对农村留守儿童成年后健康影响的
(一)基准估计结果
本文使用两阶段IV-Probit模型进行估计,基准估计结果如表2所示。Wald外生性检验的p值均小于0.01,即在1%的统计水平上认为农村留守经历是内生解释变量。在两阶段工具变量估计中,一阶段的F值为22.27,工具变量的t值为4.75。F值大于10%偏误水平下的临界值16.38,通过Cragg-Yogo检验。这表明,选择户籍地到港口的距离作为农村留守经历的工具变量是合适的,不存在弱工具变量问题。第一阶段回归结果显示,户籍地到港口的距离对农村留守经历存在显著的正向影响。
第二阶段回归结果表明,留守经历对生理健康水平和心理健康水平均存在显著的负向影响。相较于非留守者,农村留守儿童成年后的生理健康状况和心理健康状况更差。这表明,农村留守经历作为人生经历中的重要事件,对个体健康的负面影响可以持续到个体成年以后。在个体特征方面,相较于女性,男性的生理健康水平和心理健康水平显著更高。在父母特征方面,母亲受教育年限对子女成年后的生理健康水平存在显著的正向影响,表明母亲受教育水平的提高会显著提升子女成年后的健康水平。相较于14岁时父亲没有单位的子女,14岁时父亲有单位的子女成年后的生理健康水平和心理健康水平更高。父母婚姻状态对农村留守儿童成年后的心理健康水平存在显著的负向影响。在城市经济特征方面,失业率越高,农村留守儿童成年后的生理健康水平越低。人均地区生产总值越高,农村留守儿童成年后的生理健康水平和心理健康水平越低。


相较于单亲外出务工,双亲外出务工更容易对农村留守儿童的长期健康状况造成持续性伤害。农村家庭的外出务工策略包含父亲单独外出务工、母亲单独外出务工以及双亲外出务工三种模式,本文将家庭外出务工模式划分为单亲外出务工和双亲外出务工两种,分别设置单亲外出务工经历(父亲单独外出务工或者母亲单独外出务工=1,无农村留守经历=0)和双亲外出务工经历(父母均外出务工=1,无留守经历=0)变量。表3汇报了单亲外出务工经历和双亲外出务工经历对农村留守儿童成年后健康状况的影响。从估计结果来看,双亲外出务工经历对农村留守儿童成年后的健康状况存在显著的不利影响,具有双亲外出务工经历的农村留守儿童成年后的生理健康状况和心理健康状况显著变差。单亲外出务工经历对农村留守儿童成年后的生理健康水平和心理健康水平的不利影响偏小。这表明,相较于单亲外出务工,双亲外出务工导致父母照料双重缺失,对农村留守儿童成年后的健康状况产生了更为显著的影响。

本文将核心解释变量替换为学前留守、小学留守和初中留守,并重新进行回归。根据表4的估计结果,留守开始的阶段越早,农村留守儿童成年后的生理健康水平和心理健康水平越差。学前留守对农村留守儿童成年后的生理健康水平和心理健康水平的负面影响最大,其次是小学留守,负面影响最小的是初中留守。这表明,父母离开子女的时间越早,留守经历对子女健康状况的长期不利影响越显著。以上结果表明,学前阶段父母对子女的照顾相较于小学阶段和初中阶段更为重要。

(二)稳健性检验
为了验证估计结果的可靠性,本文将从以下几个方面进行稳健性检验。
1.替换被解释变量。首先,本文使用是否有伤病、是否住院来替换生理健康水平。是否有伤病根据问卷中的问题“您过去两周内是否有病伤?”来衡量。是否住院根据问卷中的问题“2017年7月以来,您是否有医生诊断需要住院?”来衡量,以反映更长时间内的客观的生理健康水平。本文使用两阶段IV-Probit模型进行估计。其次,本文调整基准回归中生理健康水平的赋值方式,按照从“非常健康”到“非常不健康”的顺序,分别赋值5~1,赋值越低,表示生理健康水平越差。本文使用线性模型两阶段最小二乘法(2SLS)进行估计。根据估计结果,留守经历显著增加了农村留守儿童成年后有伤病和住院的概率,且对农村留守儿童成年后的生理健康水平(重新赋值)产生了显著的负向影响①。总体来看,有农村留守经历的样本在成年后面临更严重的生理健康问题。
本文采用三种方式替换基准回归中的心理健康变量。首先,本文直接使用抑郁自评量表总得分替换基准回归中的心理健康水平变量,总分越高,个体面临的心理健康问题越严重。其次,本文根据抑郁自评量表中20个条目的得分,使用因子分析方法计算得到个体的心理健康状况,并替换基准回归中的被解释变量进行回归。最后,本文根据抑郁自评量表的分类标准,从抑郁情绪因子、消极情绪因子、躯体症状或活动阻滞因子和人际关系因子4个方面,分别定义抑郁情绪因子、消极情绪因子、躯体症状因子和人际关系因子变量,并替换基准回归中的被解释变量进行回归。4个因子变量的赋值为抑郁自评量表中4个因子对应条目得分的总和。本文使用线性模型两阶段最小二乘法(2SLS)进行回归。估计结果显示,农村留守经历显著降低了个体的心理健康水平,留守经历会显著增加农村留守儿童成年后的心理健康问题。
2.采用倾向得分匹配法。本文需考虑以下两个问题:第一,农村留守经历是一种“自选择”行为,受自身及家庭条件等多重因素的综合影响,并非随机发生,而样本自选择问题可能导致模型估计存在偏差。第二,即便观测到农村留守儿童成年后的健康情况,本文也不可能观测到(假设)没有留守经历的农村留守儿童成年后的健康水平,这实际上是一种“数据缺失”问题。因此,本文所用样本可能是总体中的一个非随机样本,进而造成估计结果偏误。为解决这一个问题,本文采用倾向得分匹配法(PSM),基于不同的匹配方法来估计留守经历对农村留守儿童成年后健康状况的影响。根据估计结果,无论采取何种匹配方法,留守经历均显著降低了农村留守儿童成年后的生理健康水平和心理健康水平,与基准回归结果基本一致①。因此,本文的基准回归结果是稳健的。
3.考虑留守时长。基准回归未考虑留守时长的影响,因此,本文进一步考虑留守时长的作用。本文先采用倾向得分匹配法,仅保留共同支撑域内的样本,然后基于Probit模型,控制留守时长,研究不同阶段开始留守对农村留守儿童成年后健康状况的影响。结果表明,相较于初中留守,小学留守和学前留守对农村留守儿童成年后的心理健康水平的负面影响更大。
(三)异质性分析
留守经历对农村留守儿童成年后健康状况的影响可能存在性别和家庭结构上的异质性。本文分别按照性别、家庭是否为独生子女家庭以及家庭是单亲家庭还是双亲家庭,将样本分为两组,并进行分组回归。根据表5中A部分的估计结果,从性别角度来看,相较于男性,女性的生理健康水平更容易受到农村留守经历的负面影响。根据表5中B部分和C部分的估计结果,从家庭结构角度来看,相较于独生子女家庭组,非独生子女家庭组中个体的生理健康水平和心理健康水平更容易受到农村留守经历的负面影响;相较于单亲家庭组,双亲家庭的个体的生理健康水平和心理健康水平更容易受到农村留守经历的负面影响。这表明,当兄弟姐妹数量增加或缺乏双亲照料时,留守儿童获得父母陪伴和资源支持的机会较少,处于不利的成长环境中。根据双重劣势理论,这类农村留守儿童成年后的健康状况将会受到更严重的影响。
本文进一步分析留守经历对农村留守儿童成年后健康状况的影响存在出生队列上的异质性。样本个体的出生年份为1980-2000年,因此,本文将样本划分为“80后”组和“90后”组。这样划分的意义是:“90后”在2018年的最大年龄为28岁,是步入社会的新人,而“80后”则是在社会打拼过的有一定社会积累的人群。通过这种划分,本文可以初步探究后期社会积累在农村留守经历影响留守儿童成年后健康状况中的作用。根据表5中D部分的估计结果,农村留守经历对“90后”的心理健康水平存在显著的负面影响,对“80后”的生理健康水平和心理健康水平均存在显著的负面影响。相较于对“90后”的影响,留守经历影响“80后”的生理健康水平和心理健康水平的程度虽有所增加,但显著性下降。

四、留守经历影响农村留守儿童成年后健康的作用机制分析
留守经历对农村留守儿童成年后的健康状况产生了显著的不利影响。健康的根本致因理论认为,生活方式、受教育水平等。社会经济因素会持续影响个体健康(LinkandPhelan,1995)。所以,本文采用KHB方法检验留守经历能够在多大程度上通过生活方式、高等教育和社会地位影响农村留守儿童成年后的健康状况况。估计结果如表6所示。


个体的生活方式是影响其健康的直接因素。本文根据问卷中的3个问题——“您最近一个月进行有规律的锻炼吗”“您是否有饮酒历史(每周至少1次)”“您是否有吸烟历史”——来定义生活方式变量。对于第一个问题,若受访者回答“是”,则相应分值为0;若回答“否”,则相应分值为1;对于第二个和第三个问题,若受访者回答“是”,则相应分值为1;若回答“否”,则相应分值为0。本文加总这3个问题的分值,得到生活方式的分值。根据表6中A部分的估计结果,在生理健康方面,生活方式解释了留守经历对农村留守儿童成年后生理健康水平影响的9.48%;在心理健康方面,生活方式解释了留守经历对农村留守儿童成年后心理健康水平影响的3.27%。这表明,留守经历导致更加不健康的生活方式,进而增加农村留守儿童成年后的健康风险。可见,留守经历会通过影响个体的生活方式对农村留守儿童成年后的健康状况产生不利影响。
由于篇幅限制,部分内容有删减,完整版本请查看中国知网
